Номер 579 - ГДЗ Алгебра 8 класс. Мерзляк, Полонский. Учебник. Страница 143

Вернуться к содержанию учебника

Упражнения §17. Страница 143

576 577 578 579 580 1 2

Вопрос

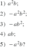
Число - положительное, а число - отрицательное. Какое из данных выражений принимает наибольшее значение:

Подсказка

Вспомните:

  1. Что такое степень числа.
  2. Умножение рациональных чисел.
  3. Сравнение рациональных чисел.
  4. Какие числа называют противоположными.

Ответ


Вернуться к содержанию учебника