Номер 574 - ГДЗ Алгебра 8 класс. Мерзляк, Полонский. Учебник. Страница 143

Вернуться к содержанию учебника

Упражнения §17. Страница 143

571 572 573 574 575 576 577

Вопрос

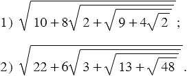
Упростите выражение:

Подсказка

Ответ


Вернуться к содержанию учебника