Вернуться к содержанию учебника
Упражнения §17. Страница 143
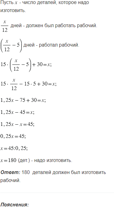
Рабочий должен был изготовить ежедневно по 12 деталей. Однако он изготовлял ежедневно по 15 деталей, и уже за 5 дней до окончания срока работы ему осталось изготовить 30 деталей. Сколько деталей должен был изготовить рабочий?
Вспомните:
Вернуться к содержанию учебника