Номер 529 - ГДЗ Алгебра 8 класс. Мерзляк, Полонский. Учебник. Страница 137

Вернуться к содержанию учебника

Упражнения §17. Страница 137

526 527 528 529 530 531 532

Вопрос

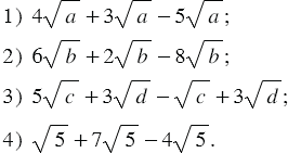
Упростите выражение:

Подсказка

Ответ


Вернуться к содержанию учебника