Номер 525 - ГДЗ Алгебра 8 класс. Мерзляк, Полонский. Учебник. Страница 136

Вернуться к содержанию учебника

Упражнения §17. Страница 136

522 523 524 525 526 527 528

Вопрос

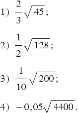
Упростите выражение:

Подсказка

Ответ


Вернуться к содержанию учебника