Номер 534 - ГДЗ Алгебра 8 класс. Мерзляк, Полонский. Учебник. Страница 137

Вернуться к содержанию учебника

Упражнения §17. Страница 137

531 532 533 534 535 536 537

Вопрос

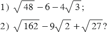
Рациональным или иррациональным является значение выражения:

Подсказка

Ответ


Вернуться к содержанию учебника