Номер 279 - ГДЗ Алгебра 8 класс. Мерзляк, Полонский. Учебник. Страница 71

Вернуться к содержанию учебника

Упражнения § 9. Страница 71

276 277 278 279 280 281 282

Вопрос

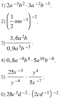
Упростите выражение:

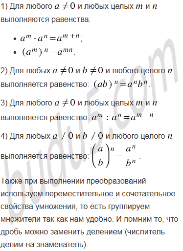
Подсказка

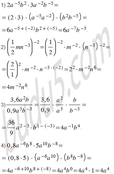
Ответ


Вернуться к содержанию учебника