Номер 277 - ГДЗ Алгебра 8 класс. Мерзляк, Полонский. Учебник. Страница 70

Вернуться к содержанию учебника

Упражнения § 9. Страница 70

274 275 276 277 278 279 280

Вопрос

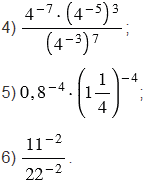
Найдите значение выражения:

1) 6-966;

2) 7-16 : 7-18;

3) 5-7 : 5-653;

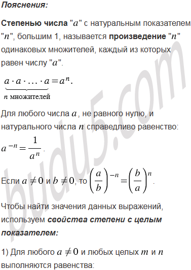
Подсказка

Ответ


Вернуться к содержанию учебника