Номер 76 - ГДЗ Алгебра 8 класс. Мерзляк, Полонский. Учебник. Страница 22

Вернуться к содержанию учебника

Упражнения § 3. Страница 22

73 74 75 76 77 78 79

Вопрос

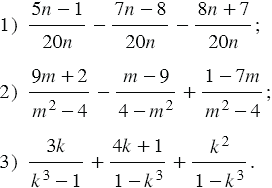
Упростите выражение:

Подсказка

Вспомните:

  1. Какие дроби называют рациональными.
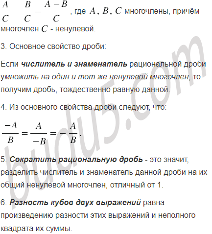
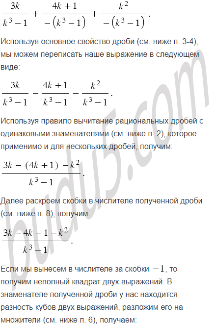
  2. Сокращение рациональной дроби.
  3. Правило вычитания рациональных дробей с одинаковыми знаменателями.
  4. Правило сложения рациональных дробей с одинаковыми знаменателями.
  5. Правила сложения и вычитания рациональных чисел.
  6. Раскрытие скобок и приведение подобных слагаемых.
  7. Свойства степени с натуральным показателем.
  8. Разность квадратов двух выражений.
  9. Разность кубов двух выражений.

Ответ


Вернуться к содержанию учебника