Вернуться к содержанию учебника
Упражнения § 3. Страница 21
2 68 69 70 71 72 73 74 75 76 77
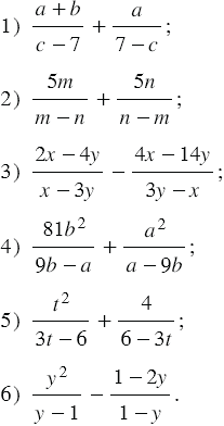
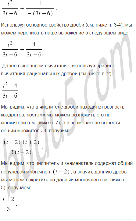
Выполните действия:
Вспомните: