Вернуться к содержанию учебника
Упражнения § 3. Страница 22
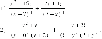
74 75 76 77 78 79 80 81 82 83 84
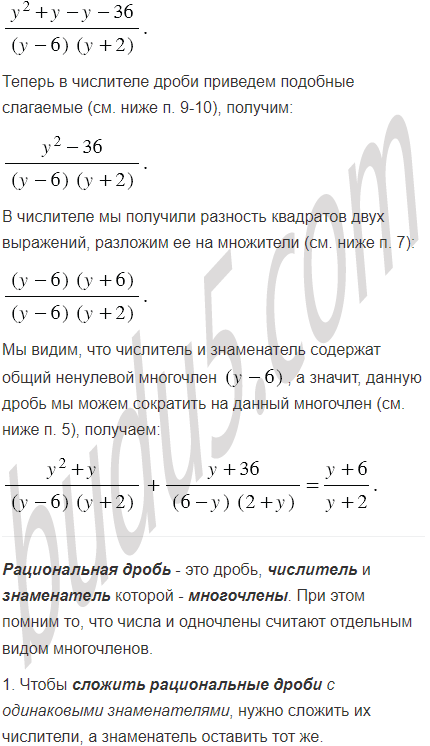
Упростите выражение:
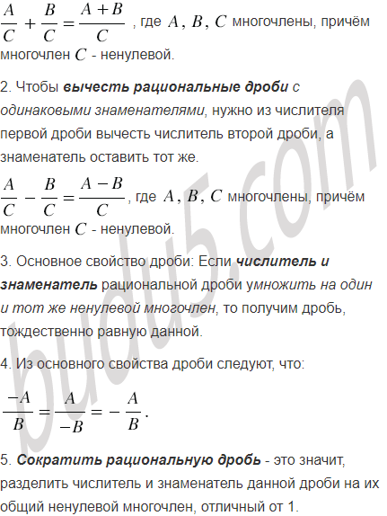
Вспомните: