Номер 1195 - ГДЗ Алгебра 7 класс. Мерзляк, Полонский. Учебник. Страница 231

Вернуться к содержанию учебника

Страница 231

1192 1193 1194 1195 1196 1197 1198

Вопрос

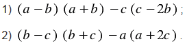
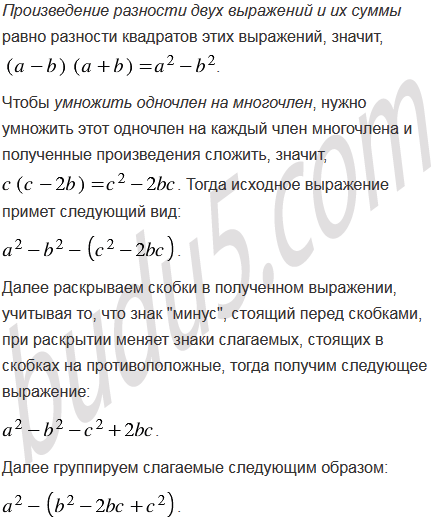
Разложите на множители:

Подсказка

Ответ


Вернуться к содержанию учебника