Вернуться к содержанию учебника
Страница 231
1187 1188 1189 1190 1191 1192 1193 1194 1195 1196 1197
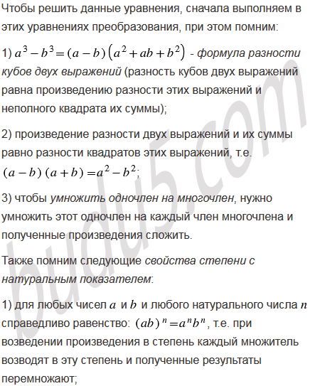
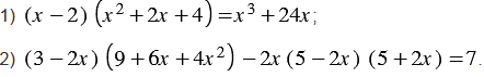
Решите уравнение:
Вспомните: