Номер 1189 - ГДЗ Алгебра 7 класс. Мерзляк, Полонский. Учебник. Страница 231

Вернуться к содержанию учебника

Страница 231

1186 1187 1188 1189 1190 1191 1192

Вопрос

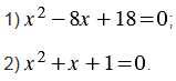
Докажите, что не имеет корней уравнение:

Подсказка

Ответ


Вернуться к содержанию учебника