Номер 186 - ГДЗ Алгебра 8 класс. Мерзляк, Полонский. Учебник. Страница 46

Вернуться к содержанию учебника

Упражнения § 6. Страница 46

183 184 185 186 187 188 189

Вопрос

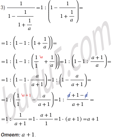
Упростите выражение:

Подсказка

Вспомните:

  1. Что называют тождественным преобразованием.
  2. Какую дробь называют рациональной.
  3. Деление и дроби.
  4. Что называют одночленом.
  5. Что называют многочленом.
  6. Порядок выполнения действий.
  7. Сложение и вычитание рациональных дробей с разными знаменателями.
  8. Сложение и вычитание рациональных дробей с одинаковыми знаменателями.
  9. Умножение и деление рациональных дробей.
  10. Подобные слагаемые, правила раскрытия скобок.
  11. Степень с натуральным показателем.
  12. Распределительное свойство умножения.
  13. Умножение одночлена на многочлен.
  14. Квадрат разности двух выражений.
  15. Противоположные числа.
  16. Правила сложения рациональных чисел.
  17. Правило вычитания рациональных чисел.

Ответ


Вернуться к содержанию учебника