Вернуться к содержанию учебника
Страница 227
1141 1142 1143 1144 1145 1146 1147 1148 1149 1150 1151
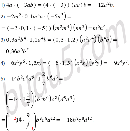
Упростите выражение:
Вспомните: