Номер 487 - ГДЗ Алгебра 8 класс. Мерзляк, Полонский. Учебник. Страница 123

Вернуться к содержанию учебника

Упражнения §15. Страница 123

484 485 486 487 488 489 490

Вопрос

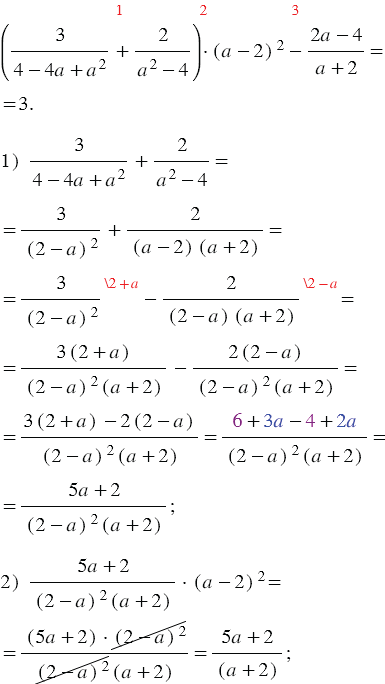
Докажите, что при всех допустимых значениях переменной значение выражения

не зависит от значения .

Подсказка

Ответ


Вернуться к содержанию учебника