Номер 460 - ГДЗ Алгебра 8 класс. Мерзляк, Полонский. Учебник. Страница 115

Вернуться к содержанию учебника

Упражнения §14. Страница 115

457 458 459 460 461 462 463

Вопрос

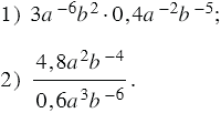
Упростите выражение:

Подсказка

Ответ


Вернуться к содержанию учебника