Номер 226 - ГДЗ Алгебра 8 класс. Мерзляк, Полонский. Учебник. Страница 59

Вернуться к содержанию учебника

Упражнения § 7. Страница 59

223 224 225 226 227 228 229

Вопрос

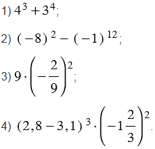
Найдите значение выражения:

Подсказка

Ответ


Вернуться к содержанию учебника