Номер 153 - ГДЗ Алгебра 8 класс. Мерзляк, Полонский. Учебник. Страница 38

Вернуться к содержанию учебника

Упражнения § 5. Страница 38

150 151 152 153 154 155 156

Вопрос

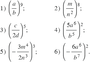
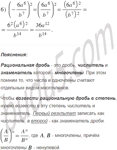
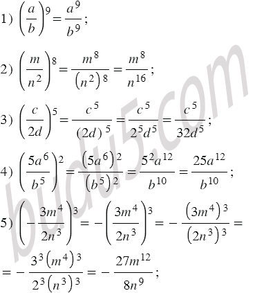
Выполните возведение в степень:

Подсказка

Ответ


Вернуться к содержанию учебника