Номер 1219 - ГДЗ Алгебра 7 класс. Мерзляк, Полонский. Учебник. Страница 233

Вернуться к содержанию учебника

Страница 233

1216 1217 1218 1219 1220 1221 1222

Вопрос

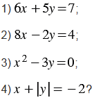
При каком значении пара (; ) является решением уравнения:

Подсказка

Ответ


Вернуться к содержанию учебника