Номер 1168 - ГДЗ Алгебра 7 класс. Мерзляк, Полонский. Учебник. Страница 229

Вернуться к содержанию учебника

Страница 229

1165 1166 1167 1168 1169 1170 1171

Вопрос

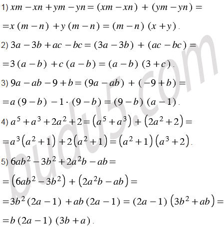
Разложите на множители:

Подсказка

Вспомните:

  1. Что называют многочленом.
  2. Что называют разложением многочлена на множители (способ группировки).
  3. Правила раскрытия скобок.
  4. Степень с натуральным показателем.
  5. Свойства степени с натуральным показателем.

Ответ


Вернуться к содержанию учебника