Номер 1003 - ГДЗ Алгебра 7 класс. Мерзляк, Полонский. Учебник. Страница 194

Вернуться к содержанию учебника

Страница 194

1000 1001 1002 1003 1004 1005 1006

Вопрос

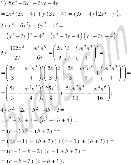
Разложите на множители:

Подсказка

Ответ


Вернуться к содержанию учебника