Номер 991 - ГДЗ Алгебра 7 класс. Мерзляк, Полонский. Учебник. Страница 193

Вернуться к содержанию учебника

Страница 193

988 989 990 991 992 993 994

Вопрос

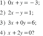
Какая из прямых, изображённых на рисунке 55, является графиком уравнения:

Подсказка

Вспомните:

  1. Какое равенство называется уравнением с двумя переменными.
  2. Какое уравнение с двумя переменными называют линейным.
  3. Что является решением уравнения с двумя переменными.
  4. Что такое график уравнения с двумя переменными.
  5. Координатная плоскость.

Ответ


Вернуться к содержанию учебника