Вернуться к содержанию учебника
Страница 185
934 935 936 937 938 939 940 941 942 943 944
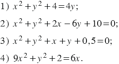
Решите уравнение:
Вспомните: