Номер 929 - ГДЗ Алгебра 7 класс. Мерзляк, Полонский. Учебник. Страница 184

Вернуться к содержанию учебника

Страница 184

926 927 928 929 930 931 932

Вопрос

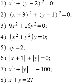
Сколько решений имеет уравнение:

Подсказка

Ответ


Вернуться к содержанию учебника