Номер 915 - ГДЗ Алгебра 7 класс. Мерзляк, Полонский. Учебник. Страница 183

Вернуться к содержанию учебника

Страница 183

912 913 914 915 916 917 918

Вопрос

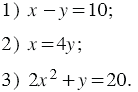
Укажите какие-нибудь три решения уравнения:

Подсказка

Ответ


Вернуться к содержанию учебника