Номер 708 - ГДЗ Алгебра 7 класс. Мерзляк, Полонский. Учебник. Страница 124

Вернуться к содержанию учебника

Страница 124

705 706 707 708 709 710 711

Вопрос

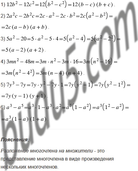
Представьте в виде произведения многочлен:

Подсказка

Ответ


Вернуться к содержанию учебника