Номер 210 - ГДЗ Алгебра 7 класс. Мерзляк, Полонский. Учебник. Страница 47

Вернуться к содержанию учебника

Страница 47

207 208 209 210 211 212 213

Вопрос

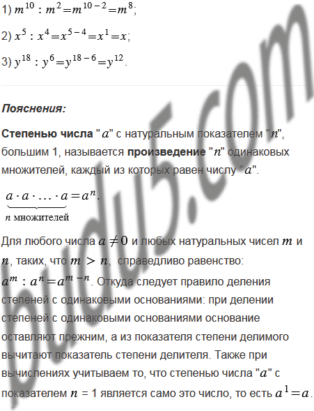
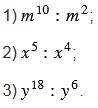
Выполните деление:

Подсказка

Вспомните:

  1. Что называют степенью числа с натуральным показателем.
  2. Как разделить степени с одинаковыми основаниями.

Ответ


Вернуться к содержанию учебника